山東羅欣藥業集團股份有限公司招標公告

【規 格】0.25g、0.5g
【包 裝】鋁塑包裝;6片/盒、8片/盒、10片/盒、12片/盒
【單 位】片
【批準文號】(1)0.25g 國藥準字H20153062 (2)0.5g 國藥準字H20153063
【藥品名稱】
通用名稱:頭孢丙烯片
英文名稱:Cefprozil Tablets
漢語拼音:Toubaobingxi Pian
【成 份】本品主要成份為頭孢丙烯。
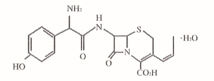
化學名稱:(6R,7R)-7-[(R)-2-氨基-2-(對羥基苯基)乙酰氨基]-8-氧代-3-丙烯-5-硫雜-1-氮雜雙環[4.2.0]辛-2-烯-2-羧酸一水合物。
化學結構式:

分子式:C18H19N3O5S?H2O
分子量:407.45
【性 狀】本品為薄膜衣片,除去包衣后顯類白色至淡黃色。
【規 格】0.25g、0.5g
【不良反應】
1.頭孢丙烯的不良反應與其他口服頭孢菌素相似,主要為胃腸道反應,包括腹瀉,惡心,嘔吐和腹痛等。亦可發生過敏反應,常見為皮疹,蕁麻疹。兒童發生過敏反應較成人多見,多在開始治療后幾天內出現,停藥后幾天內消失。
其他不良反應較少,包括:
肝膽系統:AST(谷草轉氨酶)和ALT(谷丙轉氨酶)升高。偶見堿性磷酸酶和膽紅素升高。膽汁瘀積性黃疸罕見。
中樞神經系統:頭暈,活動過度,頭痛,精神緊張、失眠、意識混亂,偶見嗜睡,因果關系尚不明確。所有這些反應均呈可逆性。
血液系統:白細胞減少,嗜酸性粒細胞增多。罕見凝血酶原時間延長。
腎臟:血清尿素氮增高,血清肌酐增高。
其他:尿布疹和二重感染,生殖器瘙癢和陰道炎。
下述不良事件,無論是否已明確其與頭孢丙烯的因果關系,在上市后監測中均少見。包括過敏,血管神經性水腫,結腸炎(包括偽膜性結腸炎),多形性紅斑,發熱,血清病樣反應,Stevens-Johnson綜合征和血小板減少癥。在本品上市后的監測期間,曾有過牙齒變色、肝毒性包括肝炎的不良反應報告。
2.頭孢菌素類藥物的不良反應
除上述所列使用頭孢丙烯發生的不良反應外,頭孢菌素類藥物尚有以下的不良反應和引起實驗室檢查異常:
再生障礙性貧血,溶血性貧血,出血,腎功能不全,中毒性表皮壞死,中毒性腎病,凝血酶原時間延長,Coomb’s試驗陽性,LDH增高,全血細胞減少,中性粒細胞減少,粒細胞缺乏癥。
有幾種頭孢菌素藥物與癲癇發作有關,特別是腎功能損傷患者未減少用藥量時(見用法用量)。如與藥物治療有關的癲癇發作,應停用藥物,并根據臨床表現進行抗驚厥治療。
【禁 忌】對本制劑中的任何成分以及頭孢菌素類藥物過敏的患者,禁用。
【注意事項】
使用本品治療前,應仔細詢問病人是否有頭孢丙烯和其他頭孢菌素類藥物、青霉素類及其他藥物的過敏史。有青霉素過敏史患者服用本品應謹慎。凡以往有青霉素類藥物所致過敏性休克史或其他嚴重過敏反應者不宜使用本品。目前已有明確證據證明,在β-內酰胺類抗生素中存在交叉過敏。在對青霉素過敏的患者中,與本品發生交叉過敏的可能性最高達10%。如發生過敏反應,應停止用藥。嚴重過敏反應需使用腎上腺素并采取其他緊急措施,包括給氧、靜脈輸液,靜注抗組胺藥、皮質激素、升壓藥及人工呼吸。
幾乎所有抗菌藥物包括頭孢丙烯長期使用可引起非敏感性微生物的過度生長,改變腸道正常菌群,誘發二重感染,尤其是偽膜性腸炎。因此應仔細觀察用藥病人服藥后的反應,特別注意對繼發腹瀉患者的診斷。如在治療期間發生二重感染,應采取適當的措施。對偽膜性腸炎患者,輕度病例僅需停用藥物,而中至重度病例,根據臨床癥狀采取調節水和電解質平衡,補充蛋白,和用對耐藥菌有效的抗菌藥物治療。
確診或疑有腎功能損傷的病人(見用法用量)在用本品治療前和治療時,應嚴密觀察臨床癥狀并進行適當的實驗室檢查。在這些病人中,常規劑量時血藥濃度較高或/和排泄減慢,故應減少本品的每日用量。同時服用強利尿劑治療的病人使用頭孢菌素應謹慎,因為這些藥物可能會對腎功能產生有害影響。
患有胃腸道疾病,尤其是腸炎病人應慎用頭孢丙烯。
包括頭孢丙烯在內的幾乎所有的抗生素在應用中都曾有發生難辨梭菌相關性腹瀉(Clostridium difficilc associated diarrhea,CDAD)的報告,其嚴重程度從輕度腹瀉到致死性的結腸炎不等。抗菌藥物治療會改變患者結腸部位的正常菌群,導致難辨梭菌過度生長。
難辨梭菌產生的毒素A和B是導致難辨梭菌相關性腹瀉(CDAD)發生的原因。難辨梭菌的產劇毒菌株可引起CDAD發病率和死亡率的升高,由于這些感染屬于抗微生物藥物難治性感染,所以可能需要對此類患者進行結腸切除術。凡在使用抗生素后出現腹瀉的患者,都必須考慮發生CDAD的可能性。曾報告,在抗菌藥物治療結束2個月后發牛CDAD,因此在進行CDAD鑒別時需要認真了解患者的病史。
一旦懷疑或者確認患者發生了CDAD,可能需要停止患者正在接受的抗生素治療(對難辨梭菌有直接抑制作用的抗生素除外)。同時應根據臨床指征,對患者進行適當的液體和電解質管理,補充蛋白、使用抗生素治療難辨梭菌感染并進行手術評估。
據報告,患者在接受頭孢菌素類抗生素治療期間,直接Coomb’s試驗結果陽性。
若內包裝標簽受損,不得使用本品。
【孕婦及哺乳期婦女用藥】
目前尚無本品用于孕婦的足夠和有良好對照的臨床研究。在懷孕期間,只有在確實需要的情況下方可使用本品。哺乳期婦女一次口服頭孢丙烯1克,可在乳汁中測得少量藥物(<服入量的0.3%)。24小時平均濃度為0.25-3.3mg/L。由于尚不明確頭孢丙烯對嬰兒的影響,故哺乳期婦女服用本品應謹慎。
【兒童用藥】
尚無6個月以下兒童患者使用頭孢丙烯的安全性和療效的資料。然而,已有有關其他頭孢菌素類藥物在新生兒體內蓄積(由于在此年齡段兒童藥物半衰期延長)的報道。
【老年用藥】
老年人(≥65歲)平均AUC相對于年輕成人約增高35%-60%,女性AUC較男性AUC高15%-20%。但頭孢丙烯藥代動力學在年齡、性別間差異不足以說明有調整劑量的必要。
【藥物相互作用】
已有氨基糖苷類抗生素和頭孢菌素合用引起腎毒性的報道。與丙磺舒合用可使頭孢丙烯AUC增加一倍。
藥物/實驗室試驗相互作用:頭孢菌素類抗生素可引起尿糖還原試驗(Benedict或Feling氏試劑或硫酸銅片狀試劑(Clinitest?片)假陽性反應,但尿糖酶學試驗(如Tes-Tape?尿糖試紙)不產生假陽性。此類藥物可引起假陰性血糖鐵氰化反應。血液中頭孢丙烯不干擾用堿性苦味酸鹽法對血或尿中肌酐量的測定。
【藥物過量】
頭孢丙烯主要經腎臟清除,對嚴重過量,尤其是腎功能損傷患者,血液透析有助于頭孢丙烯清除。
【藥理毒理】
藥理:本品為第二代頭孢菌素類藥物,具有廣譜抗菌作用。
該藥的殺菌機制是阻礙細菌細胞壁合成。
體外試驗證明,頭孢丙烯對革蘭陽性需氧菌中的金黃色葡萄球菌(包括產β-內酰胺酶菌株)、肺炎鏈球菌、化膿性鏈球菌作用明顯,對堅忍腸球菌,單核細胞增多性李斯特菌,表皮葡萄球菌,腐生葡萄球菌、Warnei葡萄球菌、無乳鏈球菌,鏈球菌C、D、F、G組和草綠色鏈球菌具抑制作用。對耐甲氧西林葡萄球菌和糞腸球菌無效,對革蘭陰性需氧菌的嗜血流感桿菌(包括產β-內酰胺酶菌株)、卡他莫拉菌(包括產β-內酰胺酶菌株)高度敏感;可抑制Diversus枸櫞酸菌,大腸桿菌,肺炎克雷伯菌,淋病奈瑟菌(包括產β-內酰胺酶菌株),奇異變形桿菌,沙門菌屬,志賀菌和弧菌的繁殖,對不動桿菌屬,腸桿菌屬,摩氏摩根菌屬,普通變形桿菌,普羅威登菌屬,假單孢菌屬的多數菌株無抗菌作用。
頭孢丙烯對厭氧菌中的黑色素類桿菌、艱難梭桿菌、產氣莢膜桿菌、梭桿菌屬、消化鏈球菌和痤瘡丙酸桿菌具一定抑制作用,對多數脆弱桿菌株無抗菌作用。
毒理:尚無可靠參考文獻。
【藥代動力學】
國內試驗已經證明空腹口服該藥片劑和混懸劑具生物等效。
文獻報道,受試者空腹口服頭孢丙烯,約95%給藥量可被吸收。在健康者的平均血漿半衰期為1.3小時,穩態分布容積約0.23L/kg。總清除率和腎清除率分別為3ml/min/kg和2.3ml/min/kg左右。
受試者空腹口服頭孢丙烯250mg、500mg或1g,平均血藥峰濃度分別為6.1、10.5和18.3mg/L,服藥后1.5小時內可達血藥峰濃度,尿回收率約為服藥量的60%。
口服250mg、500mg和lg后最初4小時,尿中平均濃度分別為700mg/L、1000mg/L和2900mg/L。
片劑或混懸劑與食物同服不影響頭孢丙烯的吸收(AUC)和血藥峰濃度,但達峰時間可延長0.25小時至0.75小時。
血漿蛋白結合率約為36%,當血藥濃度在2~20mg/L范圍內時,血漿蛋白結合率與血藥濃度變化無關。
腎功能正常者口服頭孢丙烯劑量達1000mg,每8小時一次,連續10天,未見有藥物血漿蓄積現象。
腎功能減退病人,根據其腎功能損害程度不同,頭孢丙烯血漿半衰期可延長至5.2小時;腎功能完全喪失患者,頭孢丙烯的血漿半衰期可達5.9小時。血液透析時,半衰期縮短。腎功能明顯不全患者的頭孢丙烯排泄途徑尚不明確(見注意事項與用法用量)。
頭孢丙烯在肝功能損害病人的血漿半衰期可增至2小時左右,但這種改變并不意味著肝功能損傷患者需調整劑量。
老年人(≥65歲)平均AUC相對于年輕成人約增高35%~60%,女性AUC較男性AUC高15%~20%。但頭孢丙烯藥代動力學在年齡、性別間差異不足以說明有調整劑量的必要。
哺乳期婦女一次口服頭孢丙烯1克,可在乳汁中測得少量藥物(<服入量的0.3%)。24小時平均濃度為0.25~3.3mg/L。由于尚不明確頭孢丙烯對嬰兒的影響,故哺乳期婦女服用本品應謹慎。
尚無有關頭孢丙烯的腦脊液中藥代動力學資料。
【貯 藏】遮光,密封,在陰涼(不超過20℃)干燥處保存。
【包 裝】鋁塑包裝;6片/盒、8片/盒、10片/盒、12片/盒
【有 效 期】24個月。
【執行標準】《中國藥典》2015年版二部 YBH00772015
【批準文號】(1)0.25g 國藥準字H20153062 (2)0.5g 國藥準字H20153063
【生產企業】
企業名稱:山東羅欣藥業集團股份有限公司
生產地址:山東省臨沂高新技術產業開發區羅七路
郵政編碼:276017
電話號碼:0539-8257899 8481991
傳真號碼:0539-8481990
售后服務:0539-8242699
網 址:www.ytxjx.cn
用于敏感菌所致的下列輕、中度感染:
1.上呼吸道感染
(1)化膿性鏈球菌性咽炎/扁桃體炎。
注:通常治療和預防鏈球菌感染(包括預防風濕熱)應選擇肌內注射青霉素。雖然頭孢丙烯一般可有效清除鼻咽部的化膿性鏈球菌,但目前尚無可供借鑒的頭孢丙烯預防繼發性風濕熱的資料。
(2)肺炎鏈球菌、嗜血流感桿菌(包括產β-內酰胺酶菌株)和卡他莫拉菌(包括產β-內酰胺酶菌株)性中耳炎和急性鼻竇炎。
2.下呼吸道感染
由肺炎鏈球菌、嗜血流感桿菌(包括產β-內酰胺酶菌株)和卡他莫拉菌(包括產β-內酰胺酶菌株)引起的急性支氣管炎繼發細菌感染和慢性支氣管炎急性發作。
3.皮膚和皮膚軟組織
金黃色葡萄球菌(包括產青霉素酶菌株)和化膿性鏈球菌引起的非復雜性皮膚和皮膚軟組織感染,但膿腫通常需行外科引流排膿。
適當時應進行細菌培養和藥敏試驗以確定病原菌對頭孢丙烯的敏感性。
口服,成人(13歲或以上)上呼吸道感染,一次0.5g,一日1次;下呼吸道感染,一次0.5g,一日2次;皮膚或皮膚軟組織感染,一日0.5g,分1次或2次服用,嚴重病例一次0.5g,一日2次。
2至12歲兒童上呼吸道感染:按體重一次7.5mg/kg,一日2次;皮膚或皮膚軟組織感染:按體重一次20mg/kg,一日1次。
6個月嬰兒至12歲兒童中耳炎:按體重一次15mg/kg,一日2次;急性鼻竇炎:一般按體重一次7.5mg/kg,一日2次;嚴重病例,按體重一次15mg/kg,一日2次。
療程一般7~14日,但β溶血性鏈球菌所致急性扁桃體炎、咽炎的療程至少10天。
腎功能不全
腎功能不全患者服用頭孢丙烯應按下表調整劑量:
肌酐清除率(ml/min) | 劑量(mg) | 服藥間隔 |
30-120 | 常用量 | 常規時間 |
0-29* | 50%常用量 | 常規時間 |
*血液透析可清除體內部分頭孢丙烯,因此應在血透完畢后服用。
肝損傷
肝功能受損患者無需調整劑量。